เจาะลึก Hang Seng Index ดัชนีหุ้นจีนตัวสำคัญในตลาดหุ้นฮ่องกง พร้อมทำความเข้าใจโครงสร้าง ปัจจัยที่ส่งผล และกลยุทธ์การลงทุนใน HSI สำหรับนักลงทุนไทย

ดัชนีฮั่งเส็ง คืออะไร? Index ตัวสำคัญในตลาดหุ้นฮ่องกง

เจาะลึก Hang Seng Index ดัชนีหุ้นจีนตัวสำคัญในตลาดหุ้นฮ่องกง พร้อมทำความเข้าใจโครงสร้าง ปัจจัยที่ส่งผล และกลยุทธ์การลงทุนใน HSI สำหรับนักลงทุนไทย

กดฟัง
หยุด
  • ดัชนีฮั่งเส็ง อ้างอิงจากราคาตลาดของบริษัทขนาดใหญ่และมีสภาพคล่องมากที่สุด 82 แห่งในตลาดหลักทรัพย์ฮ่องกง
  • มูลค่าของดัชนีฮั่งเส็งมีสัดส่วนสูงถึง 66.28% ของมูลค่าตลาดหลักทรัพย์ฮ่องกงทั้งหมด ทำให้สามารถสะท้อนเศรษฐกิจและฮ่องกงได้ดี

ดัชนีฮั่งเส็ง คือ ?

ดัชนีฮั่งเส็ง หรือ Hang Seng Index (HSI) คือ ดัชนีที่อ้างอิงจากราคาตลาดของบริษัทขนาดใหญ่และมีสภาพคล่องมากที่สุด 82 แห่ง ที่จดทะเบียนในตลาดหลักทรัพย์ฮ่องกงซึ่งขนาดใหญ่เป็นอันดับ 5 ของโลก (ณ ก.ค. 67) ลักษณะคล้าย ๆ S&P 500 Index (500 บริษัทที่ใหญ่ที่สุดในตลาดหลักทรัพย์ของอเมริกา) หรือ SET 50 (50 บริษัทที่ใหญ่ที่สุดในตลาดหลักทรัพย์ของไทย) หรือ Nikkei Index (225 บริษัทที่ใหญ่ที่สุดในตลาดหลักทรัพย์


ดัชนีฮั่งเส็ง สำคัญอย่างไร ?

มูลค่าตลาดในดัชนีฮั่งเส็ง มีสัดส่วนสูงถึง 66.28% ของมูลค่าตลาดหลักทรัพย์ฮ่องกงทั้งหมด (ณ พ.ย. 67) ทำให้สามารถสะท้อนภาพเศรษฐกิจของฮ่องกงและจีนได้ดี


อีกทั้งหุ้นที่จดทะเบียนในตลาดหลายตัวยังเป็นบริษัทที่ทรงอิทธิพลของโลก เช่น Alibaba, Tencent และ BYD Company เป็นต้น ทำให้มีนักลงทุนติดตามมากเป็นลำดับต้น ๆ ของเอเชียและในระดับโลก นอกจากนี้การลงทุนในดัชนีฮั่งเส็งผ่านตลาดหลักทรัพย์ฮ่องกงยังเป็นช่องทางในการระดมเงินทุนจากต่างประเทศเพื่อนำไปลงทุนในประเทศจีนด้วย


ทั้งนี้ การคำนวณดัชนีฮั่งเส็งจะคำนึงถึงมูลค่าหลักทรัพย์ตามราคาตลาดของหุ้นทั้ง 82 ตัว โดยคณะกรรมการภายในตลาดหลักทรัพย์ฮ่องกงจะประชุมทุกไตรมาสเพื่อประเมินสมาชิกในดัชนีและตัดสินใจเพิ่มหรือลดบริษัทในดัชนีได้ตามความเหมาะสม


ดัชนีฮั่งเส็ง มีบริษัทอะไรบ้าง ?

ปัจจุบันมีทั้งหมด 82 บริษัทส่วนใหญ่จะอยู่ในกลุ่มอุตสาหกรรมการเงิน กลุ่มเทคโนโลยี รวมกันกว่า 60% ซื้อขายผ่านสกุลเงินฮ่องกง และมีหุ้นที่จดทะเบียน 3 แบบด้วยกัน คือ


  • Red Chip หุ้นที่มีธุรกิจบนจีนแผ่นดินใหญ่ จดทะเบียนนอกจีน แต่ซื้อขายในตลาดหุ้นฮ่องกง
  • P Chip หุ้นที่ถือหุ้นใหญ่โดยรัฐบาล จดทะเบียนในตลาดหุ้นฮ่องกง
  • H Share หุ้นที่มีธุรกิจบนจีนแผ่นดินใหญ่ จดทะเบียนในตลาดหุ้นฮ่องกง


ที่มา : www.hsi.com.hk ณ พ.ย. 67


รายชื่อหุ้น 50 ตัวแรกในดัชนีฮั่งเส็ง

สัดส่วนหุ้นแต่ละตัว



ที่มา : www.hsi.com.hk ณ พ.ย. 67


ทำไมดัชนีฮั่งเส็งถึงน่าลงทุนในระยะยาว

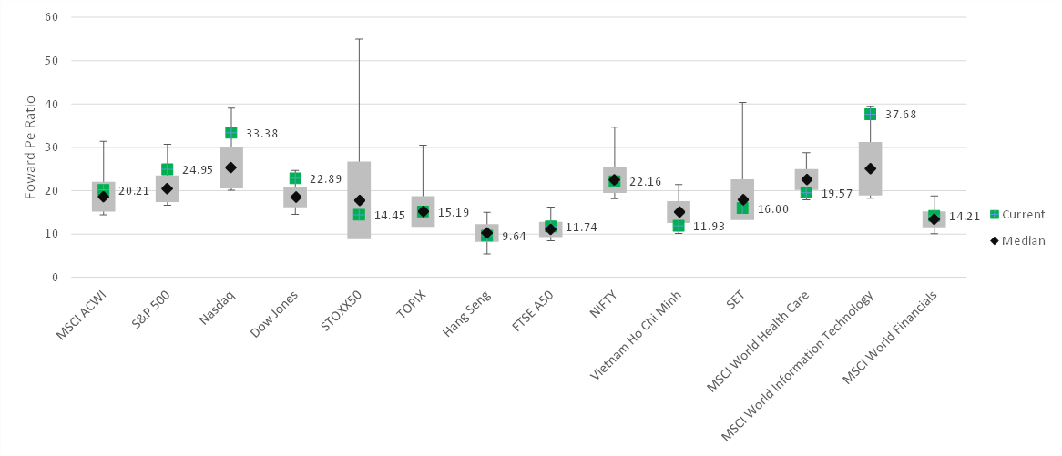
  1. ราคาหุ้นในตลาดถูกกว่าค่าเฉลี่ย ขณะที่ GDP จีนยังเติบโตได้ต่อเนื่อง

    แม้ว่าราคาหุ้นในดัชนีฮั่งเส็งส่วนใหญ่จะยังไม่ฟื้นตัว แต่ GDP จีนกลับเติบโตสวนทาง โดยในปี 67 อยู่ที่ 5.4% สูงกว่าที่คาดไว้ที่ 5.0% ขณะที่วิกฤติอสังหาริมทรัพย์ของจีนเริ่มเห็นสัญญาณที่ดีขึ้น เป็นโอกาสของนักลงทุน VI ที่อยากสะสมหุ้นคุณภาพดีแต่ราคาถูก ด้วยระดับราคาที่ต่ำกว่าค่าเฉลี่ย 10 ปีย้อนหลัง (ณ ธ.ค. 67)


    ที่มา : Bloomberg, JA team KBank ณ 31 ธ.ค. 67


  2. รัฐบาลจีนมีมาตรการกระตุ้นเศรษฐกิจรวมถึงฟื้นฟูตลาดหุ้นอย่างต่อเนื่อง
    • ประกาศลด Requirement Reserve Ratio (RRR) ตัวกำหนดจำนวนเงินสดที่ธนาคารต้องสำรองไว้ เพื่อให้ธนาคารจีนสามารถปล่อยกู้ได้มากขึ้น เพิ่มโอกาสให้เม็ดเงินไหลเข้าภาคธุรกิจมากขึ้น เพื่อฟื้นฟูเศรษฐกิจในปี 67 และยังมีแนวโน้มที่จะลด RRR เพิ่มให้ปีนี้
    • โครงการ Re-lending Program มูลค่ากว่า 3 แสนล้านหยวน (4.21 หมื่นล้านดอลลาร์สหรัฐฯ) เพื่อเสริมสร้างความความเชื่อมั่นในตลาด โดยโครงการนี้จะเสนอสินเชื่อที่ดอกเบี้ยต่ำให้แก่ธนาคาร 21 แห่งเพื่อปล่อยกู้ให้กับบริษัทที่เข้าเกณฑ์ ช่วงเดือน ก.ย. 67
    • มาตรการกระตุ้นการบริโภค เช่น โครงการ trade-in และการแจกคูปองอิเล็กทรอนิกส์ในเซี่ยงไฮ้ ช่วงเดือน ก.ย. 67

อย่างไรก็ตาม หากนักลงทุนคาดหวังการลงทุนในดัชนีฮั่งเส็งแล้วต้องการผลตอบแทนที่เติบโตเร็วในระยะสั้น อาจเป็นไปได้ยาก เนื่องจากในปี 68 ความเสี่ยงสงครามการค้ารอบใหม่ ระหว่างสหรัฐฯและจีนยังคงเป็นปัจจัยสำคัญที่ต้องจับตา ซึ่งทางการจีนมีการรับมือโดยจะเน้นการบริโภคและการลงทุนในประเทศ รวมถึงการผ่อนคลายมาตรการการเงินและคลังครั้งใหญ่ และเร่งระบายสินค้าก่อนนโยบายกีดกันและตั้งกำแพงภาษีของทรัมป์จะมา ขณะที่ปัญหาภายในประเทศ เช่น ภาคอสังหาริมทรัพย์ ยังคงเป็นปัจจัยกดดันเศรษฐกิจจีน ทางศูนย์วิจัยกสิกรไทยจึงมองว่า ปี 68 เศรษฐกิจจีนมีแนวโน้มเติบโตชะลอลงอยู่ที่ 4.6%


ปัจจัยที่ส่งผลต่อดัชนีฮั่งเส็ง

สภาวะเศรษฐกิจโลก เนื่องจากการเป็นรัฐที่มีรูปแบบเศรษฐกิจแบบเปิดและพึ่งพาการส่งออก ฮ่องกงจึงได้รับอิทธิพลอย่างมากจากการเติบโตของเศรษฐกิจโลก โดยเฉพาะจากจีนและสหรัฐอเมริกา การชะลอตัวของเศรษฐกิจประเทศเหล่านี้จึงอาจส่งผลต่อดัชนีฮั่งเส้ง


เหตุการณ์ทางการเมือง เนื่องจากฮ่องกงเป็นเขตกึ่งปกครองตนเองของจีน และการเปลี่ยนแปลงใด ๆ ในภูมิทัศน์ทางการเมืองของจีนหรือฮ่องกงอาจมีผลกระทบอย่างมากต่อดัชนี


อัตราดอกเบี้ย การเปลี่ยนแปลงอัตราดอกเบี้ยใด ๆ โดยธนาคารกลางฮ่องกงหรือธนาคารกลางสหรัฐอาจส่งผลกระทบต่อต้นทุนการกู้ยืมและการปล่อยสินเชื่อ และส่งผลต่อการตัดสินใจลงทุนของนักลงทุนในตลาด


อัตราแลกเปลี่ยน เนื่องจากสกุลเงินของฮ่องกงผูกติดกับดอลลาร์สหรัฐ ดังนั้น การเปลี่ยนแปลงในอัตราแลกเปลี่ยนอาจส่งผลต่อการทำกำไรของบริษัทที่มุ่งเน้นการส่งออก และความเชื่อมั่นของนักลงทุนที่มีต่อตลาด


นโยบายของรัฐบาล ด้านภาษี การค้า และการลงทุนที่เกี่ยวข้องกับการทำกำไรของบริษัทที่จดทะเบียนในตลาดหลักทรัพย์โดยตรง


เกร็ดความรู้ ดัชนีฮั่งเส็ง แตกต่างจาก ดัชนีหุ้นจีนอื่นอย่างไร

Hang Seng
Hang Seng China Enterprises
Hang Seng TECH
CSI 300
China A50
STAR 50
ส่วนใหญ่เป็นบริษัทจีนและฮ่องกงชั้นนำ ปัจจุบันมี 82 ตัว จดทะเบียนในตลาดหุ้นฮ่องกงส่วนใหญ่จะอยู่ในอุตสาหกรรมการเงินและเทคโนโลยี



บริษัทจีนชั้นนำที่จดทะเบียนในตลาดหุ้นฮ่องกงจำนวน 50 ตัว จดทะเบียนในตลาดหุ้นฮ่องกง
หุ้นกลุ่มเศรษฐกิจยุคใหม่จำนวน 30 ตัว จดทะเบียนในตลาดหุ้นฮ่องกง
หุ้นจีนขนาดใหญ่ 300 ตัวของตลาดหุ้นเซี่ยงไฮ้และตลาดหุ้นเซินเจิ้น กระจายการลงทุน 11 อุตสาหกรรม
ลงทุนในหุ้น 50 ตัวแรกของตลาดหุ้นจีนแผ่นดินใหญ่ (A-Shares)
หุ้นเทคโนโลยีและนวัตกรรม 50 จดทะเบียนในตลาดหุ้นเซี่ยงไฮ้

สำหรับนักลงทุนที่สนใจลงทุนในตลาดหุ้นจีน อยากทยอยถือลงทุนในระยะยาว ทาง บลจ.กสิกรไทย มีกองทุนหุ้นจีนให้เลือกลงทุน 3 กองทุน ตามความสนใจ ดังนี้


  1. K-CHINA : ลงทุนในหุ้นจีนที่จดทะเบียนในจีนแผ่นดินใหญ่ ฮ่องกง และประเทศอื่นๆ (All China) ที่มีคุณภาพดี เติบโตสูง เน้นหุ้นกลุ่มเศรษฐกิจใหม่ (New Economy) เช่น กลุ่มเทคโนโลยี กลุ่มลดการปล่อยคาร์บอนไดออกไซด์ และกลุ่มอุปโภคบริโภค

  2. สัดส่วนการลงทุนกองทุนหลักของ K-CHINA


    ที่มา : JPMorgan Funds - China Fund Class: JPM China I (acc) – USD ณ ธ.ค. 67


  3. K-CCTV : ลงทุนในกองทุนรวมต่างประเทศตั้งแต่ 2 กองทุนขึ้นไป เน้นลงทุนใน กองทุน UBS (Lux) Investment SICAV – China A Opportunity (USD) ที่ลงทุนในหุ้นจีน A-shares ที่ซื้อขายในสกุลเงินหยวน (RMB) และจดทะเบียนหรือซื้อขายในตลาดหลักทรัพย์ของจีน ได้แก่ ตลาดหลักทรัพย์เซี่ยงไฮ้ และตลาดหลักทรัพย์เซินเจิ้น และ กองทุน CSOP FTSE China A50 ETF (RMB) เน้นลงทุนในหุ้นตามดัชนี FTSE China A50 ที่ประกอบด้วยหุ้น A-shares ที่มีมูลค่าหลักทรัพย์ตามราคาตลาดมากที่สุด 50 ตัวแรกที่จดทะเบียนซื้อขายในตลาดหลักทรัพย์เซี่ยงไฮ้และตลาดหลักทรัพย์เซินเจิ้นของจีน กองทุนมีการควบคุมความผันผวนของกองทุนเพื่อให้เหมาะกับสถานการณ์

  4. สัดส่วนการลงทุนกองทุนหลัก UBS (Lux) Investment SICAV – China A Opportunity (USD)


    ที่มา : UBS (Lux) Investment SICAV – China A Opportunity (USD) ณ ธ.ค. 67


  5. K-CHX : ลงทุนในกองทุน CSOP FTSE China A50 ETF (RMB) (กองทุนหลัก) ซึ่งเป็นกองทุนอีทีเอฟที่จดทะเบียนซื้อขายในตลาดหุ้นฮ่องกง มีนโยบายลงทุนในหุ้นจีน A-shares เพื่อให้ผลตอบแทนเป็นไปตามดัชนี FTSE China A50

  6. สัดส่วนอุตสาหกรรมใน CSOP FTSE China A50 ETF (RMB)


    หุ้น 5 อันดับแรกใน CSOP FTSE China A50 ETF (RMB)

    ที่มา : CSOP FTSE China A50 ETF (RMB) ณ ธ.ค. 67


ลูกค้ากสิกรไทยสามารถลงทุนได้ผ่านแอพพลิเคชั่น K PLUS เมนู Investment ซึ่งปัจจุบันนอกเหนือจากกองทุนของ บลจ.กสิกรไทย ยังสามารถเลือกลงทุนในกองทุนของค่ายอื่นอีก 15 บลจ. ที่คัดสรรมาให้แล้ว ทำให้การลงทุนเป็นเรื่องที่ง่าย สะดวกในแอฟพลิเคชั่นเดียว


* โปรดศึกษาข้อมูลเพิ่มเติมจาก บลจ. กสิกรไทย (KAsset)




คำเตือน

การลงทุนมีความเสี่ยง ผู้ลงทุนควรทำความเข้าใจลักษณะสินค้า เงื่อนไขผลตอบแทน และความเสี่ยงก่อนตัดสินใจลงทุน

K-CHINA : ความเสี่ยงกองทุน ระดับ 6 กองทุนป้องกันความเสี่ยงจากอัตราแลกเปลี่ยนไม่น้อยกว่า 75% วันที่ประกาศ NAV (T+2) ระยะเวลาการรับเงินค่าขายคืน : T+4

K-CCTV : ความเสี่ยงกองทุน ระดับ 6 กองทุนป้องกันความเสี่ยงจากอัตราแลกเปลี่ยนไม่น้อยกว่า 75% วันที่ประกาศ NAV (T+2) ระยะเวลาการรับเงินค่าขายคืน : T+5

K-CHX : ความเสี่ยงกองทุน ระดับ 6 กองทุนจะป้องกันความเสี่ยงจากอัตราแลกเปลี่ยนไม่น้อยกว่า 75% วันที่ประกาศ NAV (T+1) ระยะเวลาการรับเงินค่าขายคืน : T+3

ผู้เขียน

K WEALTHกานต์พิชชา แดงพิบูลย์สกุล AFPT

Back to top